← All posts

Preprocessing scRNA-seq data with Scanpy

Preprocessing scRNA-seq data with Scanpy

Author: Hugo Chenel
Purpose: This tutorial guides researchers through preprocessing single-cell RNA-seq (scRNA-seq) data using Scanpy, a fast and scalable Python toolkit. It covers quality control, normalization, clustering and cell type annotation. Compared to Seurat, Scanpy offers better performance on large datasets, faster computations and seamless integration with the Python data science and machine learning ecosystem.


Introduction

This tutorial demonstrates a complete single-cell RNA-sequencing (scRNA-seq) analysis workflow using the 10k Peripheral Blood Mononuclear Cells (PBMC) dataset from 10x Genomics. The pipeline leverages Scanpy and related tools for preprocessing, dimensionality reduction, clustering and annotation of cell types.

We walk through:

  • Quality control and filtering
  • Normalization and identification of highly variable genes
  • PCA and neighborhood graph construction
  • Clustering using Leiden and Louvain algorithms
  • Marker gene detection and manual cell type annotation
  • Visualization using UMAP, dotplots and heatmaps

The goal is to reproduce a biologically meaningful cellular map and identify major immune cell populations within the PBMC sample.


Setup

Import packages

# Install specific package versions
# !pip install scanpy==1.9.6 anndata==0.10.3 numpy==2.2.5 pandas>=1.4 matplotlib>=3.5 seaborn>=0.11 igraph==0.11.6 louvain==0.8.2

import scanpy as sc
import anndata
import numpy as np
import pandas as pd
import matplotlib
import matplotlib.pyplot as plt
import seaborn as sns
import igraph as ig
import louvain

# Print library versions
for lib in [sc, anndata, np, pd, matplotlib, sns, ig, louvain]:
    print(f"{lib.__name__}: {lib.__version__}")

# Configure scanpy settings for optimal performance
sc.settings.verbosity = 3
sc.settings.set_figure_params(dpi=100, facecolor='white')
scanpy: 1.11.1
anndata: 0.11.4
numpy: 2.2.5
pandas: 2.2.3
matplotlib: 3.10.3
seaborn: 0.13.2
igraph: 0.11.6
louvain: 0.8.2

Download PBMC dataset

Downloading and extraction of the PBMC 10k v3 dataset from 10x Genomics.

We use the PBMC 10k v3 dataset from 10x Genomics, a well-characterized single-cell RNA-seq dataset derived from ~10,000 peripheral blood mononuclear cells (PBMCs) collected from a healthy human donor. This dataset is commonly used for benchmarking and method development in single-cell analysis.

  • Format: 10x Genomics filtered_feature_bc_matrix
  • Contents: matrix.mtx.gz, features.tsv.gz, barcodes.tsv.gz
  • Location: data/filtered_feature_bc_matrix/
# Create a directory to store the dataset
!mkdir -p data

# Download the dataset
!wget -P data https://cf.10xgenomics.com/samples/cell-exp/3.0.0/pbmc_10k_v3/pbmc_10k_v3_filtered_feature_bc_matrix.tar.gz

# Extract it
!tar -xzf data/pbmc_10k_v3_filtered_feature_bc_matrix.tar.gz -C data

Load data into AnnData

Loads the PBMC 10k dataset into an AnnData object using gene symbols as variable names, ensures uniqueness and stores the original data in raw for later reference.

# Load 10x Genomics formatted data
adata = sc.read_10x_mtx(
    "data/filtered_feature_bc_matrix",
    var_names='gene_symbols',  # Use gene symbols for gene names
    cache=True  # Write a cache file for faster subsequent reading
)

# Make variable names unique
adata.var_names_make_unique()
adata.raw = adata
adata
... reading from cache file cache/data-filtered_feature_bc_matrix-matrix.h5ad
AnnData object with n_obs × n_vars = 11769 × 33538
    var: 'gene_ids', 'feature_types'
# Print summary of the AnnData object
print(adata)

# Number of cells (observations)
print(f"Number of cells: {adata.n_obs}")

# Number of genes (variables)
print(f"Number of genes: {adata.n_vars}")

# Preview first few cell (obs) and gene (var) names
print(f"First 5 cell IDs: {adata.obs_names[:5].tolist()}")
print(f"First 5 gene names: {adata.var_names[:5].tolist()}")

# Matrix sparsity info
nonzero = (adata.X != 0).sum()
total = adata.shape[0] * adata.shape[1]
print(f"Data sparsity: {(1 - nonzero / total):.2%}")
AnnData object with n_obs × n_vars = 11769 × 33538
    var: 'gene_ids', 'feature_types'
Number of cells: 11769
Number of genes: 33538
First 5 cell IDs: ['AAACCCAAGCGCCCAT-1', 'AAACCCAAGGTTCCGC-1', 'AAACCCACAGAGTTGG-1', 'AAACCCACAGGTATGG-1', 'AAACCCACATAGTCAC-1']
First 5 gene names: ['MIR1302-2HG', 'FAM138A', 'OR4F5', 'AL627309.1', 'AL627309.3']
Data sparsity: 93.71%

Quality control

This section annotates mitochondrial, ribosomal and hemoglobin genes, calculates cell-level QC metrics, and visualizes distributions and scatter plots to inspect potential low-quality cells.

Quality control metrics

# Annotate mitochondrial, ribosomal, and hemoglobin genes
adata.var['mt'] = adata.var_names.str.startswith('MT-')      # Mitochondrial genes
adata.var['ribo'] = adata.var_names.str.startswith(('RPS', 'RPL'))  # Ribosomal genes
adata.var['hb'] = adata.var_names.str.startswith('HB')       # Hemoglobin genes

print(f"Mitochondrial genes: {adata.var['mt'].sum()}")
print(f"Ribosomal genes: {adata.var['ribo'].sum()}")
print(f"Hemoglobin genes: {adata.var['hb'].sum()}")

# Compute QC metrics using these annotations
sc.pp.calculate_qc_metrics(
    adata,
    qc_vars=['mt', 'ribo', 'hb'],
    percent_top=None,
    log1p=False,
    inplace=True
)

# Visualize QC metrics
sc.pl.violin(adata, ['n_genes_by_counts', 'total_counts', 'pct_counts_mt'],
             jitter=0.4, multi_panel=True)

fig, ax = plt.subplots(1, 2, figsize=(10, 4))
sc.pl.scatter(adata, x='total_counts', y='pct_counts_mt', ax=ax[0], show=False)
sc.pl.scatter(adata, x='total_counts', y='n_genes_by_counts', ax=ax[1], show=False)
plt.tight_layout(); plt.show()


print("\nQC metrics calculated:")
print(f"QC columns in adata.obs: {[col for col in adata.obs.columns if 'total' in col or 'pct' in col or 'n_genes' in col]}")

# Basic statistics
print(f"\nBasic statistics:")
print(f"Mean genes per cell: {adata.obs['n_genes_by_counts'].mean():.2f}")
print(f"Mean UMIs per cell: {adata.obs['total_counts'].mean():.2f}")
print(f"Mean mitochondrial percentage: {adata.obs['pct_counts_mt'].mean():.2f}%")
if 'pct_counts_ribo' in adata.obs.columns:
    print(f"Mean ribosomal percentage: {adata.obs['pct_counts_ribo'].mean():.2f}%")
Mitochondrial genes: 13
Ribosomal genes: 104
Hemoglobin genes: 13
QC metrics calculated:
QC columns in adata.obs: ['n_genes_by_counts', 'total_counts', 'total_counts_mt', 'pct_counts_mt', 'total_counts_ribo', 'pct_counts_ribo', 'total_counts_hb', 'pct_counts_hb']

Basic statistics:
Mean genes per cell: 2109.42
Mean UMIs per cell: 7644.85
Mean mitochondrial percentage: 11.99%
Mean ribosomal percentage: 25.85%
Violin Scatter

We annotated key gene types (mitochondrial, ribosomal, hemoglobin) and computed standard QC metrics using scanpy. These metrics are visualized using violin and scatter plots.

  • Violin plots show distribution of:

    • Number of detected genes per cell
    • Total UMI counts per cell
    • Mitochondrial gene percentage
  • Scatter plots help detect:

    • Cells with high total counts and high mitochondrial content (likely stressed/dying)
    • Cells with unusually low gene counts (likely empty droplets)

These diagnostics guide threshold selection for filtering low-quality or outlier cells in the next step.

Quality control filtering

We applied rigorous quality filters to retain high-confidence single cells and informative genes:

  • Gene filter: kept genes expressed in at least 3 cells.

  • Cell filter:

    • n_genes_by_counts > 500: remove empty droplet
    • < 5000: avoid doublets
    • pct_counts_m < 15%: exclude stressed/dying cells
    • total_counts between 1000 and 30 000: keep healthy transcriptional profiles

Gene-level statistics (number of cells expressed in, mean count, dropout rate) are recomputed after filtering to verify dataset quality.

# Print initial statistics
print(f"Before filtering:")
print(f"  Cells: {adata.n_obs}")
print(f"  Genes: {adata.n_vars}")

# Basic gene filter: keep genes expressed in at least 3 cells
sc.pp.filter_genes(adata, min_cells=3)

# Cell-level QC filtering
adata = adata[
    (adata.obs['n_genes_by_counts'] > 500) & # Remove cells with too few genes (likely empty droplets)
    (adata.obs['n_genes_by_counts'] < 5000) & # Remove cells with too many genes (potential doublets)
    (adata.obs['pct_counts_mt'] < 15) & # Remove cells with high mitochondrial content (stressed/dying)
    (adata.obs['total_counts'] > 1000) & # Remove low-UMI cells (low-quality)
    (adata.obs['total_counts'] < 30000), 
    :
]

# Optional stricter PBMC-style filters
# adata = adata[adata.obs['n_genes_by_counts'] < 2500, :]
# adata = adata[adata.obs['pct_counts_mt'] < 10, :]

# Final cleanup (redundant with earlier gene filtering, but safe to repeat)
sc.pp.filter_genes(adata, min_cells=3)
sc.pp.filter_cells(adata, min_genes=500)

# Calculate gene statistics
adata.var['n_cells'] = (adata.X > 0).sum(axis=0).A1
adata.var['mean_counts'] = adata.X.mean(axis=0).A1
adata.var['pct_dropout'] = 100 * (1 - adata.var['n_cells'] / adata.n_obs)

print(f"\nGene statistics:")
print(f"  Mean cells per gene: {adata.var['n_cells'].mean():.2f}")
print(f"  Mean counts per gene: {adata.var['mean_counts'].mean():.2f}")
print(f"  Mean dropout percentage: {adata.var['pct_dropout'].mean():.2f}%")

print(f"\nFinal filtered data:")
print(f"  Cells: {adata.n_obs}")
print(f"  Genes: {adata.n_vars}")
Before filtering:
  Cells: 11769
  Genes: 33538
filtered out 13245 genes that are detected in less than 3 cells
filtered out 186 genes that are detected in less than 3 cells
Gene statistics:
  Mean cells per gene: 1169.56
  Mean counts per gene: 0.40
  Mean dropout percentage: 88.87%

Final filtered data:
  Cells: 10508
  Genes: 20107
# Create a figure with subplots
fig, axes = plt.subplots(2, 3, figsize=(18, 12))
fig.suptitle('Quality control metrics', fontsize=16, y=0.98)

# Plot 1: Number of genes per cell (violin plot)
axes[0,0].violinplot([adata.obs['n_genes_by_counts']], positions=[0], showmeans=True, showmedians=True)
axes[0,0].set_ylabel('Number of genes')
axes[0,0].set_title('Genes per cell')
axes[0,0].set_xticks([0])
axes[0,0].set_xticklabels(['Cells'])

# Plot 2: Total UMI counts per cell (violin plot)
axes[0,1].violinplot([adata.obs['total_counts']], positions=[0], showmeans=True, showmedians=True)
axes[0,1].set_ylabel('Total UMI counts')
axes[0,1].set_title('UMI counts per cell')
axes[0,1].set_xticks([0])
axes[0,1].set_xticklabels(['Cells'])

# Plot 3: Mitochondrial gene percentage (violin plot)
axes[0,2].violinplot([adata.obs['pct_counts_mt']], positions=[0], showmeans=True, showmedians=True)
axes[0,2].set_ylabel('Mitochondrial gene %')
axes[0,2].set_title('Mitochondrial gene %')
axes[0,2].set_xticks([0])
axes[0,2].set_xticklabels(['Cells'])

# Plot 4: Scatter plot - genes vs UMIs
axes[1,0].scatter(adata.obs['total_counts'], adata.obs['n_genes_by_counts'], alpha=0.6, s=1)
axes[1,0].set_xlabel('Total UMI counts')
axes[1,0].set_ylabel('Number of genes')
axes[1,0].set_title('Genes vs UMI counts')

# Plot 5: Scatter plot - UMIs vs mitochondrial %
axes[1,1].scatter(adata.obs['total_counts'], adata.obs['pct_counts_mt'], alpha=0.6, s=1)
axes[1,1].set_xlabel('Total UMI counts')
axes[1,1].set_ylabel('Mitochondrial gene %')
axes[1,1].set_title('UMI counts vs Mitochondrial %')

# Plot 6: Ribosomal gene percentage (violin plot)
axes[1,2].violinplot([adata.obs['pct_counts_ribo']], positions=[0], showmeans=True, showmedians=True)
axes[1,2].set_ylabel('Ribosomal gene %')
axes[1,2].set_title('Ribosomal gene %')
axes[1,2].set_xticks([0])
axes[1,2].set_xticklabels(['Cells'])

#plt.tight_layout()
#qc_plot_path = os.path.join(output_dir, 'qc_metrics.png')
#plt.savefig(qc_plot_path, dpi=300, bbox_inches='tight')
#plt.close()

#print(f"QC metrics plot saved at: {qc_plot_path}")

# Summary statistics
print("\nDetailed QC statistics:")
print("=" * 50)
for metric in ['n_genes_by_counts', 'total_counts', 'pct_counts_mt', 'pct_counts_ribo']:
    if metric in adata.obs.columns:
        data = adata.obs[metric]
        print(f"{metric}:")
        print(f"  Mean: {data.mean():.2f}")
        print(f"  Median: {data.median():.2f}")
        print(f"  Std: {data.std():.2f}")
        print(f"  Min: {data.min():.2f}")
        print(f"  Max: {data.max():.2f}")
        print()
Detailed QC statistics:
==================================================
n_genes_by_counts:
  Mean: 2238.32
  Median: 1969.00
  Std: 818.91
  Min: 501.00
  Max: 4986.00

total_counts:
  Mean: 8088.38
  Median: 6806.00
  Std: 4109.33
  Min: 1001.00
  Max: 29732.00

pct_counts_mt:
  Mean: 9.06
  Median: 8.88
  Std: 2.14
  Min: 0.39
  Max: 15.00

pct_counts_ribo:
  Mean: 27.66
  Median: 28.32
  Std: 10.81
  Min: 0.72
  Max: 53.15
QC_metrics

Normalization, scaling and HVGs

# Normalize and log-transform the data
sc.pp.normalize_total(adata, target_sum=1e4) # Normalize to 10,000 counts per cell
sc.pp.log1p(adata) # Log-transform

# Identify highly variable genes (HVGs) for downstream analysis
sc.pp.highly_variable_genes(adata, min_mean=0.0125, max_mean=3, min_disp=0.5)

# Visualize HVGs
plt.figure(figsize=(8, 4))
sc.pl.highly_variable_genes(adata, show=False)
plt.title('Highly variable genes')

# Subset the data to keep only highly variable genes
adata = adata[:, adata.var.highly_variable]

# Regress out unwanted sources of variation (technical effects)
sc.pp.regress_out(adata, ['total_counts', 'pct_counts_mt'])

# Scale each gene to unit variance and zero mean; clip extreme values
sc.pp.scale(adata, max_value=10)
normalizing counts per cell
    finished (0:00:00)
extracting highly variable genes
    finished (0:00:00)
--> added
    'highly_variable', boolean vector (adata.var)
    'means', float vector (adata.var)
    'dispersions', float vector (adata.var)
    'dispersions_norm', float vector (adata.var)
regressing out ['total_counts', 'pct_counts_mt']
    sparse input is densified and may lead to high memory use
HVGs

Highly variable genes (HVGs) are those that show significantly more variability across cells than expected due to technical noise. Identifying HVGs is a key step in single-cell RNA-seq analysis, as these genes are most informative for distinguishing between different cell states and types.

  • Left panel (Normalized dispersions):

    • Each dot represents a gene.
    • X-axis: Mean expression of the gene across all cells.
    • Y-axis: Normalized dispersion (variance normalized by mean).
    • Black dots: Genes selected as highly variable.
    • Gray dots: Other genes.
    • HVGs tend to lie above the cloud of other genes.
  • Right panel (raw dispersions):

    • Shows raw (non-normalized) dispersions.
    • Helps visualize the inherent variability before normalization.

Purpose of HVG selection:

  • Reduces noise by filtering out uninformative genes.
  • Focuses dimensionality reduction and clustering on genes that drive biological heterogeneity.

Dimensionality reduction

# Perform PCA on highly variable genes only
sc.tl.pca(adata, svd_solver='arpack', n_comps=50)

# Create PCA plots manually
fig, axes = plt.subplots(2, 2, figsize=(14, 10))

# Plot 1: PCA variance ratio
variance_ratio = adata.uns['pca']['variance_ratio']
axes[0,0].plot(range(1, len(variance_ratio)+1), variance_ratio, 'bo-', markersize=3)
axes[0,0].set_xlabel('Principal component')
axes[0,0].set_ylabel('Variance ratio')
axes[0,0].set_title('PCA variance ratio')
axes[0,0].set_yscale('log')

# Plot 2-4: PCA scatter plots
pca_coords = adata.obsm['X_pca']

# Color by total counts
scatter1 = axes[0,1].scatter(pca_coords[:, 0], pca_coords[:, 1], 
                            c=adata.obs['total_counts'], s=1, alpha=0.7, cmap='viridis')
axes[0,1].set_xlabel('PC1')
axes[0,1].set_ylabel('PC2')
axes[0,1].set_title('PCA - Total counts')
plt.colorbar(scatter1, ax=axes[0,1])

# Color by number of genes
scatter2 = axes[1,0].scatter(pca_coords[:, 0], pca_coords[:, 1], 
                            c=adata.obs['n_genes_by_counts'], s=1, alpha=0.7, cmap='viridis')
axes[1,0].set_xlabel('PC1')
axes[1,0].set_ylabel('PC2')
axes[1,0].set_title('PCA - Number of genes')
plt.colorbar(scatter2, ax=axes[1,0])

# Color by mitochondrial percentage
scatter3 = axes[1,1].scatter(pca_coords[:, 0], pca_coords[:, 1], 
                            c=adata.obs['pct_counts_mt'], s=1, alpha=0.7, cmap='viridis')
axes[1,1].set_xlabel('PC1')
axes[1,1].set_ylabel('PC2')
axes[1,1].set_title('PCA - Mitochondrial %')
plt.colorbar(scatter3, ax=axes[1,1])

plt.tight_layout()

# Print PCA statistics
print(f"PCA completed:")
print(f"  Number of principal components: {adata.obsm['X_pca'].shape[1]}")
print(f"  Variance explained by first PC: {adata.uns['pca']['variance_ratio'][0]:.3f}")
print(f"  Variance explained by first 10 PCs: {adata.uns['pca']['variance_ratio'][:10].sum():.3f}")
print(f"  Variance explained by first 50 PCs: {adata.uns['pca']['variance_ratio'][:50].sum():.3f}")

# Show top contributing genes for first few PCs
n_top_genes = 5
for pc in range(3):  # First 3 PCs
    pc_loadings = adata.varm['PCs'][:, pc]
    top_genes_idx = np.argsort(np.abs(pc_loadings))[-n_top_genes:]
    top_genes = adata.var_names[top_genes_idx]
    loadings_values = pc_loadings[top_genes_idx]
    print(f"\nTop {n_top_genes} genes for PC{pc+1}:")
    for gene, loading in zip(top_genes, loadings_values):
        print(f"  {gene}: {loading:.3f}")

# Visualizes cells in PCA space, colored by the expression level of the gene CST3 for example
#sc.pl.pca(adata, color='CST3', vmin=0, vmax=10)
computing PCA
    with n_comps=50
    finished (0:00:02)
PCA completed:
  Number of principal components: 50
  Variance explained by first PC: 0.067
  Variance explained by first 10 PCs: 0.191
  Variance explained by first 50 PCs: 0.244

Top 5 genes for PC1:
  FGL2: 0.082
  CTSS: 0.083
  CST3: 0.085
  MNDA: 0.085
  FCN1: 0.086

Top 5 genes for PC2:
  IGHD: 0.100
  BANK1: 0.102
  IGHM: 0.106
  MS4A1: 0.107
  CD79A: 0.111

Top 5 genes for PC3:
  PPBP: 0.112
  GNG11: 0.113
  PF4: 0.114
  CAVIN2: 0.114
  TUBB1: 0.115
PCA

PCA reduces dimensionality while preserving variance structure in gene expression.

Variance ratio plot helps decide how many PCs to keep for downstream analyses (neighborhood graph). The steep drop suggests the first ~10–20 PCs capture most biological variance.

Color overlays (UMI, gene count, mito%) help diagnose technical biases:

  • Cells with high UMI counts or gene counts form distinguishable dense regions.
  • Mitochondrial gene percentage shows a distinct distribution, possibly marking stressed or dying cells.

Top gene loadings explain the biological meaning of the PCs, useful for exploratory interpretation.


Clustering

After computing the PCA, we construct a k-nearest neighbors graph using the top 40 PCs. This graph forms the basis for clustering cells into distinct groups based on transcriptomic similarity.

We apply the Leiden algorithm at multiple resolutions to explore the effect of clustering granularity. A smaller resolution yields fewer, broader clusters; higher resolution produces more refined ones. We also run Louvain clustering for comparison.

We select leiden_0.15 as our default resolution for downstream annotation.

# Compute the neighborhood graph
sc.pp.neighbors(adata, n_neighbors=10, n_pcs=40)
# Compute UMAP
sc.tl.umap(adata, random_state=42)

# Run Leiden and Louvain clustering with igraph backend
sc.tl.leiden(
    adata,
    resolution=0.15,
    random_state=42,
    flavor="igraph",     # Use igraph instead of leidenalg
    directed=False,       # Required for igraph backend
    n_iterations=2,      # Matches upcoming default
    key_added='leiden_0.15'
)

# Run with different reolutions
sc.tl.leiden(adata, resolution=0.5, key_added='leiden_0.5')
sc.tl.leiden(adata, resolution=0.8, key_added='leiden_0.8')
sc.tl.leiden(adata, resolution=1.0, key_added='leiden_1.0')

sc.tl.louvain(
    adata,
    flavor="igraph",
    directed=False,
    random_state=42
)

for resolution in ['leiden_0.15', 'leiden_0.5', 'leiden_0.8', 'leiden_1.0']:
    n_clusters = len(adata.obs[resolution].unique())
    print(f"  {resolution}: {n_clusters} clusters")

# Set default clustering
adata.obs['clusters'] = adata.obs['leiden_0.15']

# Check cluster sizes
print(adata.obs['leiden_0.15'].value_counts().sort_index())
print(adata.obs['louvain'].value_counts().sort_index())
computing neighbors
    using 'X_pca' with n_pcs = 40
finished: added to `.uns['neighbors']`
    `.obsp['distances']`, distances for each pair of neighbors
    `.obsp['connectivities']`, weighted adjacency matrix (0:00:22)
computing UMAP
    finished: added
    'X_umap', UMAP coordinates (adata.obsm)
    'umap', UMAP parameters (adata.uns) (0:00:05)
running Leiden clustering
    finished: found 10 clusters and added
    'leiden_0.15', the cluster labels (adata.obs, categorical) (0:00:00)
running Leiden clustering
finished: found 19 clusters and added
    'leiden_0.5', the cluster labels (adata.obs, categorical) (0:00:00)
running Leiden clustering
    finished: found 22 clusters and added
    'leiden_0.8', the cluster labels (adata.obs, categorical) (0:00:00)
running Leiden clustering
    finished: found 24 clusters and added
    'leiden_1.0', the cluster labels (adata.obs, categorical) (0:00:00)
running Louvain clustering
    finished: found 20 clusters and added
    'louvain', the cluster labels (adata.obs, categorical) (0:00:00)
  leiden_0.15: 10 clusters
  leiden_0.5: 19 clusters
  leiden_0.8: 22 clusters
  leiden_1.0: 24 clusters
leiden_0.15
0    3122
1     953
2     240
3    3242
4     349
5     609
6    1392
7     341
8      60
9     200
Name: count, dtype: int64
louvain
0     1226
1      392
2      602
3      568
4      912
5     1485
6      529
7      952
8      342
9       83
10     547
11     353
12     110
13    1257
14     481
15     139
16     159
17     174
18      26
19     171
Name: count, dtype: int64

UMAP

# Create UMAP plots
fig, axes = plt.subplots(2, 3, figsize=(18, 12))
fig.suptitle('UMAP visualization', fontsize=16)

# Plot 1: UMAP colored by clusters
umap_coords = adata.obsm['X_umap']
clusters = adata.obs['clusters'].astype(str)
unique_clusters = sorted(clusters.unique(), key=lambda x: int(x))

# Create a color map for clusters
colors = plt.cm.tab20(np.linspace(0, 1, len(unique_clusters)))
cluster_colors = {cluster: colors[i] for i, cluster in enumerate(unique_clusters)}

for cluster in unique_clusters:
    mask = clusters == cluster
    axes[0,0].scatter(umap_coords[mask, 0], umap_coords[mask, 1], 
                     c=[cluster_colors[cluster]], label=f'Cluster {cluster}', s=1, alpha=0.7)
axes[0,0].set_xlabel('UMAP1')
axes[0,0].set_ylabel('UMAP2')
axes[0,0].set_title('Clusters (Leiden 0.15)')
axes[0,0].legend(bbox_to_anchor=(1.05, 1), loc='upper left', markerscale=5)

# Plot 2: UMAP colored by total counts
scatter1 = axes[0,1].scatter(umap_coords[:, 0], umap_coords[:, 1], 
                            c=adata.obs['total_counts'], s=1, alpha=0.7, cmap='viridis')
axes[0,1].set_xlabel('UMAP1')
axes[0,1].set_ylabel('UMAP2')
axes[0,1].set_title('Total counts')
plt.colorbar(scatter1, ax=axes[0,1])

# Plot 3: UMAP colored by number of genes
scatter2 = axes[0,2].scatter(umap_coords[:, 0], umap_coords[:, 1], 
                            c=adata.obs['n_genes_by_counts'], s=1, alpha=0.7, cmap='viridis')
axes[0,2].set_xlabel('UMAP1')
axes[0,2].set_ylabel('UMAP2')
axes[0,2].set_title('Number of genes')
plt.colorbar(scatter2, ax=axes[0,2])

# Plot 4: UMAP colored by mitochondrial percentage
scatter3 = axes[1,0].scatter(umap_coords[:, 0], umap_coords[:, 1], 
                            c=adata.obs['pct_counts_mt'], s=1, alpha=0.7, cmap='viridis')
axes[1,0].set_xlabel('UMAP1')
axes[1,0].set_ylabel('UMAP2')
axes[1,0].set_title('Mitochondrial %')
plt.colorbar(scatter3, ax=axes[1,0])

# Plot 5: UMAP colored by ribosomal percentage
scatter4 = axes[1,1].scatter(umap_coords[:, 0], umap_coords[:, 1], 
                            c=adata.obs['pct_counts_ribo'], s=1, alpha=0.7, cmap='viridis')
axes[1,1].set_xlabel('UMAP1')
axes[1,1].set_ylabel('UMAP2')
axes[1,1].set_title('Ribosomal %')
plt.colorbar(scatter4, ax=axes[1,1])

# Plot 6: Different clustering resolution
clusters_05 = adata.obs['leiden_0.5'].astype(str)
unique_clusters_05 = sorted(clusters_05.unique(), key=lambda x: int(x))
colors_05 = plt.cm.tab20(np.linspace(0, 1, len(unique_clusters_05)))
cluster_colors_05 = {cluster: colors_05[i] for i, cluster in enumerate(unique_clusters_05)}

for cluster in unique_clusters_05:
    mask = clusters_05 == cluster
    axes[1,2].scatter(umap_coords[mask, 0], umap_coords[mask, 1], 
                     c=[cluster_colors_05[cluster]], s=1, alpha=0.7)
axes[1,2].set_xlabel('UMAP1')
axes[1,2].set_ylabel('UMAP2')
axes[1,2].set_title('Clusters (Leiden 0.5)')

plt.tight_layout()
print(f"UMAP coordinates shape: {adata.obsm['X_umap'].shape}")
UMAP coordinates shape: (10508, 2)
UMAP

We visualize cells in 2D UMAP space to assess both clustering and quality control signals.

  • Top left: Clusters from Leiden at resolution 0.15 (used as default for annotation).
  • Top middle/right: Total UMI counts and number of detected genes per cell.
  • Bottom left: Mitochondrial content; high values may indicate stressed or dying cells.
  • Bottom middle: Ribosomal gene percentage; useful for assessing translational activity.
  • Bottom right: Clusters at higher Leiden resolution (0.5), showing finer structure.

These views help identify overclustering, technical artifacts or batch effects before annotation.

sc.pl.umap(adata, color=['leiden_0.15', 'louvain'], legend_loc='on data')
Leiden

We compare Leiden and Louvain clustering on the same UMAP projection.

  • Leiden (resolution 0.15): Often preferred for its ability to detect well-connected communities. Yields 10 broader clusters, reflecting major cell populations.
  • Louvain: Tends to over-partition, especially in noisy data. Identifies 20 finer subpopulations, some potentially oversegmented.

Overlaying both allows a quick visual assessment of cluster granularity and consistency across methods.


Differential expression

  • We use sc.tl.rank_genes_groups() with the Wilcoxon test to find genes differentially expressed across clusters.
  • The top 5 markers per cluster are visualized.
  • These markers help guide manual cell type annotation based on known immune gene signatures.

Identify marker genes

# Find marker genes for each cluster
sc.tl.rank_genes_groups(
    adata, 
    groupby='leiden_0.15',
    method='wilcoxon',
    key_added='rank_genes_groups',
    pts=True
)

sc.pl.rank_genes_groups(adata, n_genes=5, sharey=False) # n_genes=20

# Optional: save results to DataFrame
#marker_df = sc.get.rank_genes_groups_df(adata, group='0')  # change group as needed
Diff_expr

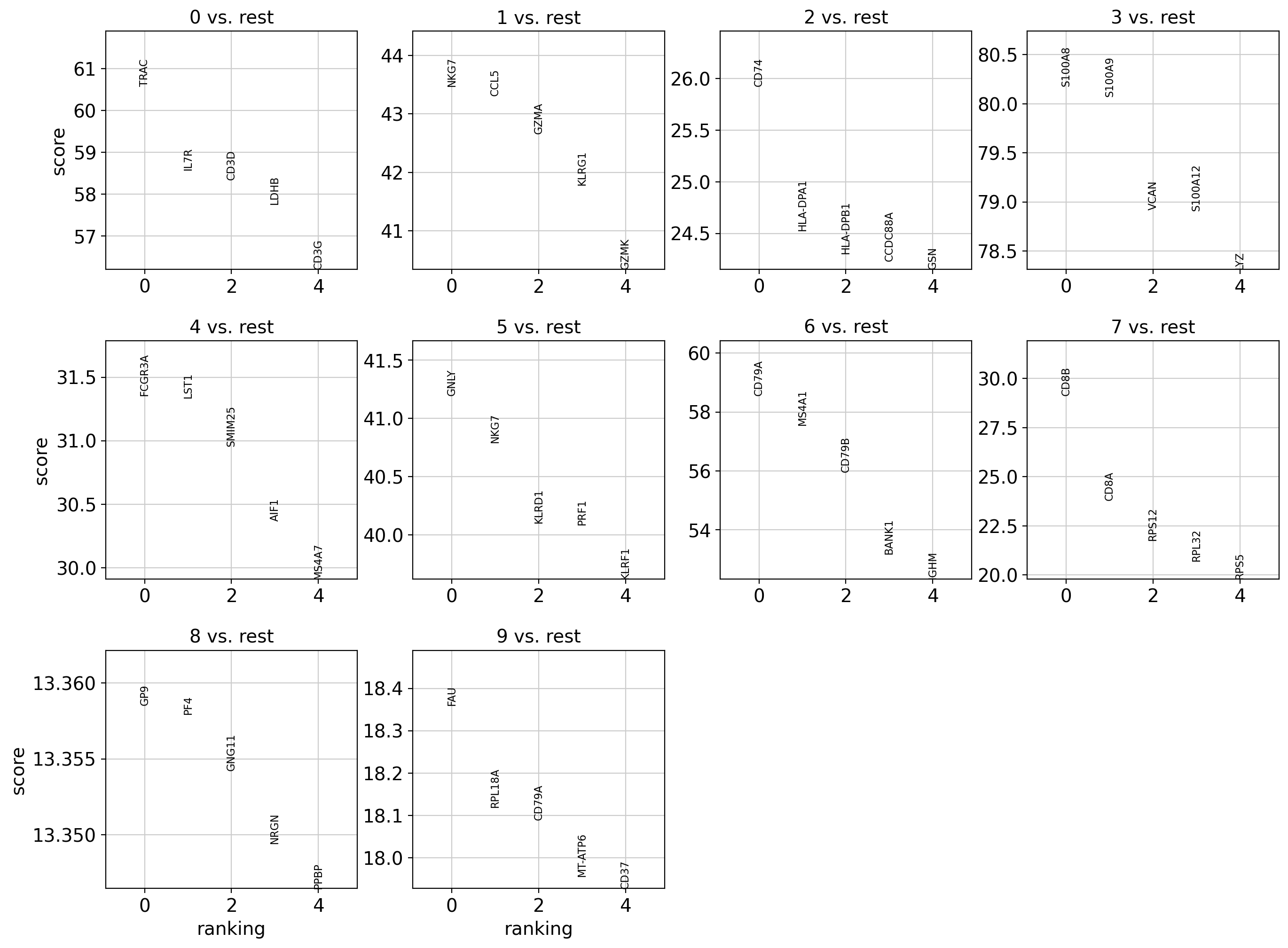
This plot shows the top 5 differentially expressed genes (DEGs) for each cluster (Leiden 0.15), computed using the Wilcoxon test.

  • Each subplot compares one cluster to all others.
  • Marker genes can be used to infer cell types based on known expression profiles.
  • For example:
    • Cluster 0: TRAC, IL7R → likely CD4+ T cells
    • Cluster 1: NKG7, GZMA → likely NK or cytotoxic T/NK cells

Visualize and export marker genes

# Access result from AnnData object
result = adata.uns['rank_genes_groups']
groups = result['names'].dtype.names

# Build dataframe
marker_df = pd.DataFrame({
    f"{group}_{key}": result[key][group]
    for group in groups for key in ['names', 'pvals_adj', 'logfoldchanges']
})

# Show top genes
print(marker_df.head(10))

# Save to CSV
marker_df.to_csv("marker_genes_per_cluster.csv")

# Top 5 marker genes per cluster
sc.pl.rank_genes_groups_stacked_violin(
    adata,
    n_genes=5,
    groupby='leiden_0.15',
    use_raw=True,
    show=True
)
0_names  0_pvals_adj  0_logfoldchanges 1_names    1_pvals_adj  \
0    TRAC          0.0          6.650535    NKG7   0.000000e+00   
1    IL7R          0.0          8.712159    CCL5   0.000000e+00   
2    CD3D          0.0          4.957501    GZMA   0.000000e+00   
3    LDHB          0.0          6.251576   KLRG1   0.000000e+00   
4    CD3G          0.0          4.193146    GZMK   0.000000e+00   
5    CD3E          0.0          4.280351    CST7   0.000000e+00   
6    TCF7          0.0          4.000473    CTSW   0.000000e+00   
7   RPS29          0.0         28.898661    IL32   0.000000e+00   
8   RPS27          0.0         53.097359   TRGC2  1.563784e-273   
9     LTB          0.0          8.916184   KLRB1  6.632533e-256   

   1_logfoldchanges   2_names    2_pvals_adj  2_logfoldchanges  3_names  ...  \
0         11.871605      CD74  1.106110e-143        191.140198   S100A8  ...   
1         12.121916  HLA-DPA1  1.364733e-128        137.927307   S100A9  ...   
2          7.822484  HLA-DPB1  1.963155e-126        107.251457     VCAN  ...   
3          5.498188   CCDC88A  8.637142e-126          9.113780  S100A12  ...   
4          8.620037       GSN  4.869852e-125          7.728571      LYZ  ...   
5          5.087254   HLA-DRA  6.188354e-125        225.423019     MNDA  ...   
6          4.747373      GNAS  2.665227e-124         15.931124      FOS  ...   
7         10.447199  HLA-DRB1  1.099161e-123         95.571693     FCN1  ...   
8          6.036745     RPLP0  2.443697e-122         31.795084     CD14  ...   
9         15.234795     RPS11  8.985897e-121         49.612915    DUSP1  ...   

   6_logfoldchanges  7_names    7_pvals_adj  7_logfoldchanges  8_names  \
0         13.351170     CD8B  6.326865e-182          7.974900      GP9   
1         11.415776     CD8A  7.407538e-121          4.671919      PF4   
2          9.078203    RPS12  4.725846e-101         60.438091    GNG11   
3          7.535903    RPL32   1.509409e-91         36.121338     NRGN   
4         27.649193     RPS5   1.394454e-83         14.555116     PPBP   
5         11.922980     RPS6   1.914490e-82         29.472307   CAVIN2   
6          7.066478     TCF7   9.436159e-82          3.161120    TUBB1   
7          5.083807    RPS3A   2.507023e-81         32.821030     ODC1   
8          9.658760     RPS3   5.444711e-79         25.497389    SPARC   
9          6.419218    RPS21   5.492118e-79         17.358566   TUBA4A   

    8_pvals_adj  8_logfoldchanges  9_names   9_pvals_adj  9_logfoldchanges  
0  7.250936e-37         20.623075      FAU  9.207220e-71         25.899172  
1  7.250936e-37         73.324547   RPL18A  3.750465e-69         55.297630  
2  7.250936e-37         32.883549    CD79A  4.297851e-69         10.636338  
3  7.250936e-37         60.786201  MT-ATP6  3.591316e-68        103.532097  
4  7.250936e-37        154.947052     CD37  4.829097e-68         12.125234  
5  7.250936e-37         34.930321    RPS23  7.304824e-68         61.317238  
6  7.563168e-37         29.227810     PTMA  7.304824e-68         29.273266  
7  8.344185e-37         19.230534    RPL41  1.044715e-67         85.344757  
8  1.048488e-36         11.514441    MS4A1  1.384798e-66          9.048560  
9  1.844881e-36         18.180162   MT-ND4  1.135585e-65         74.609802  

[10 rows x 30 columns]
WARNING: dendrogram data not found (using key=dendrogram_leiden_0.15). Running `sc.tl.dendrogram` with default parameters. For fine tuning it is recommended to run `sc.tl.dendrogram` independently.
    using 'X_pca' with n_pcs = 50
Storing dendrogram info using `.uns['dendrogram_leiden_0.15']`
stacked_violin

The stacked violin plot shows the expression of the top 5 marker genes for each cluster, identified using the Wilcoxon test.

  • Each row corresponds to a cluster (Leiden 0.15).
  • The width of the violins reflects the gene expression distribution across cells in each cluster.
  • This visualization helps confirm cluster identity by highlighting known cell-type-specific genes.

Cell type annotation

Define marker gene signatures & visualize markers

# Define PBMC marker genes
pbmc_markers = {
    'CD4+ T cells': ['CD4', 'IL7R', 'CCR7'],
    'CD8+ T cells': ['CD8A', 'CD8B', 'GZMK'],
    'Cytotoxic T/NK Cells': ['GZMA', 'GZMB', 'NKG7', 'KLRB1'],
    'NK cells': ['GNLY', 'NKG7', 'FGFBP2'],
    'B cells': ['MS4A1', 'CD79A', 'CD79B'],
    'CD14+ Monocytes': ['CD14', 'LYZ', 'CD68'],
    'FCGR3A+ Monocytes': ['FCGR3A', 'MS4A7'],
    'Dendritic Cells': ['FCER1A', 'CST3'],
    'Megakaryocytes': ['PPBP', 'PF4'],
    'Progenitor-like': ['SOX4', 'HMGB1', 'RPL15']  # These are approximate, often dataset-specific
}


# Visualize expression to validate
sc.pl.dotplot(adata, var_names=pbmc_markers, groupby='leiden_0.15', use_raw=True)
sc.pl.matrixplot(adata,
    var_names=pbmc_markers,
    groupby='leiden_0.15',
    use_raw=True,
    standard_scale='var',  # Normalize gene expression across all clusters
    cmap='Reds'
)
dotplot matrixplot

To interpret cell clusters, we visualized the expression of well-established PBMC marker genes across clusters:

  • Dotplot: Displays the average expression (color intensity) and fraction of expressing cells (dot size) for each gene-cluster pair.
  • Matrixplot: Shows normalized expression levels, helping in the identification of clusters by their transcriptional signatures.

These plots support manual annotation by aligning cluster-specific expression profiles with known marker combinations, like CD14 + LYZ for monocytes or GNLY + NKG7 for NK cells.

Assign cell types to clusters

# Map clusters to cell types
cluster_annotation = {
    '0': 'CD4+ T cells',
    '1': 'Cytotoxic T/NK Cells', 
    '2': 'Dendritic Cells',
    '3': 'Monocytes',
    '4': 'FCGR3A+ Monocytes',
    '5': 'NK Cells',
    '6': 'B Cells',
    '7': 'CD8+ T cells',
    '8': 'Megakaryocytes',
    '9': 'Progenitor-like',
}

adata.obs['cell_type'] = adata.obs['leiden_0.15'].map(cluster_annotation)

# Plot annotated UMAP
sc.pl.umap(adata, color='cell_type', legend_loc='on data', 
           legend_fontsize=10, legend_fontoutline=2, frameon=False)
annotated_UMAP

Using known marker genes and expression patterns, we mapped Leiden clusters to specific PBMC cell types. The annotated UMAP plot below displays the resulting assignments, enabling biological interpretation of clusters:

  • T cells (CD4+, CD8+)
  • NK cells
  • B cells
  • Monocytes (CD14+ and FCGR3A+)
  • Dendritic cells
  • Megakaryocytes
  • Progenitor-like cells

This annotation provides the basis for downstream differential expression and functional analyses.

Validate annotation

sc.pl.umap(
    adata,
    color=['LYZ', 'RPL15', 'PPBP'],
    use_raw=True,
    vmin=0,
    vmax=100,
    cmap='Reds',
    size=20
)
validation

We visualized canonical marker genes across the UMAP to validate cluster-specific expression:

  • LYZ: Monocyte marker, clearly enriched in the right cluster.
  • RPL15: Ribosomal gene, broadly expressed across cell types, more particularly in progenitor-like cells.
  • PPBP: Megakaryocyte-specific marker, confirming cluster identity.

These gene-level projections provide further confidence in the manual cell type annotations.


Trajectory analysis

# PAGA analysis for cluster relationships
sc.tl.paga(adata, groups='leiden_0.15')
sc.pl.paga(adata)
sc.tl.umap(adata, init_pos='paga', random_state=42)
running PAGA
    finished: added
    'paga/connectivities', connectivities adjacency (adata.uns)
    'paga/connectivities_tree', connectivities subtree (adata.uns) (0:00:00)
--> added 'pos', the PAGA positions (adata.uns['paga'])
trajectory
computing UMAP
    finished: added
    'X_umap', UMAP coordinates (adata.obsm)
    'umap', UMAP parameters (adata.uns) (0:00:03)

We applied PAGA to summarize the connectivity between clusters identified by Leiden clustering (resolution=0.15). Each node represents a cluster, and edge thickness reflects the statistical connectivity between clusters based on shared nearest neighbors.

Key insights:

  • Strong connectivity between clusters 0, 1 and 7 suggests a T/NK cell lineage continuum.
  • Cluster 3 (Monocytes) connects moderately with several other clusters, consistent with its immune signaling interactions.
  • Cluster 9 (Progenitor-like) is central, bridging distant lineages, possibly due to low specificity or transitional expression.

We then re-initialized UMAP using init_pos='paga' to reflect this global topology in the final embedding.


Data export

# Save full AnnData object
!mkdir -p results
adata.write('results/processed_pbmc_data.h5ad', compression='gzip')  # Recommended compressed format

Conclusion

Through this analysis, we successfully identified and annotated key immune cell types, including:

  • CD4+ and CD8+ T cells
  • NK cells
  • B cells
  • Classical and non-classical monocytes
  • Dendritic cells
  • Megakaryocytes

Using Leiden clustering and marker gene expression, we confirmed the identity of each cluster. Visualizations such as UMAP, violin plots and dotplots helped validate both the computational steps and biological interpretations.

This workflow can be extended to other scRNA-seq datasets and modified to include batch correction or integration with reference atlases.